Chondroitin Sulfate Bulk
Source: Bovine cartilage
Appearance: white powder
CAS: 9007-28-7
Molecular formula: C13H21NO15S
Molecular weight: 463.36854
EINECS: 232-696-9
Shelf Life: 24 months
Storage conditions: This product should be sealed and shaded, stored in a dry place
Certifications:cGMP,ISO22000,ISO9001,EU&NOP Organic Certificate,Kosher,BRC,Halal,HACCP
Shipping speed:3-5 days
- Fast Delievery
- Quality Assurance
- 24/7 Customer Service
Product Introduction
Do You Know About Chondroitin Sulfate?
Chondroitin sulfate bulk (CS) is a type of sulfated glycosaminoglycan (GAG) covalently linked to proteins to form proteoglycans (PGs). It is an important natural biomacromolecule, an acidic mucopolysaccharide, and is widely present in the extracellular matrix and cell surfaces of animal tissues, such as bone, cartilage, skin, cornea, ligaments, and tendons. Commercial CS is primarily derived from porcine larynx, tracheal, and nasal bones, as well as from bovine, chicken, and shark cartilage. Other sources, such as sturgeon, skate, eel, shellfish, sea cucumber, deer antler, and earthworms, have also been reported. Chondroitin sulfate is low-cost, easy to process, and possesses anti-inflammatory properties, good hydrophilicity, biocompatibility, and biodegradability, offering significant potential for tissue engineering and wound healing.Chondroitin sulfate can also be used as an additive in health products and foods, and has the effects of enhancing human physical fitness, resisting bacteria, beautifying, and anti-aging.


Molecular Structure of Chondroitin Sulfate Bulk
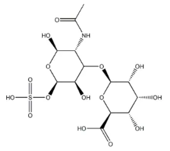
Chondroitin sulfate bulk is a complex glycosaminoglycan composed of alternating disaccharide units of D-glucuronic acid (GlcA) and N-acetylgalactosamine (GalNAc), with a relative molecular weight of 5,000–50,000 Da. Naturally derived chondroitin sulfates can be classified into several typical types, depending on the number and position of sulfate groups substituted on the disaccharide units: CS-O, CS-A, CS-C, CS-D, and CS-E. CS-A and CS-C are currently the most widely developed and utilized types. CS-A is primarily derived from terrestrial mammalian cartilage, while CS-C is most abundant in fish cartilage.
Chondroitin sulfate proteoglycans (CSPGs) are formed by disaccharide units linked to serine residues of the core protein via a tetrasaccharide linker. Sulfation of chondroitin sulfate increases the structural complexity of the proteoglycan, enabling it to carry a wealth of biological information and thus possess diverse physiological functions. As the main component of PG, chondroitin sulfate plays a central role in physiological processes such as cell division, cell proliferation, differentiation, migration, tissue formation, organ formation, infection, wound healing and central nervous system development.
YTBIO: Providing High-Quality Chondroitin Sulfate Bulk and Services
High-quality nutritional supplements are crucial to your health journey. YTBIO specializes in providing high-quality Chondroitin Sulfate Bulk.
we have:
- cGMP, ISO9001, and ISO22000 certifications ensure rigorous quality control throughout the entire process;
- BRC and HACCP system certifications ensure product safety and reliability;
- Kosher, and halal certifications meet various global standards and dietary requirements.
| Appearance | Creamy white powder |
| Solubility and Clarity | Soluble in water, clear |
| Infrared Identification | The infrared absorption spectrum is consistent with that obtained with USP Chondroitin Sulfate Sodium RS |
| Sodium Identification | Positive |
| Assay by CPC | 98% |
| Limit of protein | ≤6.0% |
| Specific Rotation | -12.0°~ -18.0° |
| pH | 5.5-7.5 |
| Residue on Ignition | 20.0-30.0% |
| Loss on Drying | <12.0% |
| Bulk Density | ≥0.60g/ml |
| Particle Size | 100% thru 80 Mesh |
| Total Plate Count | ≤1000 CFU/g |
| Yeast and Mold | ≤100 CFU/g |
| E. Coli | Negative |
| Salmonella | Negative |
| S.aureus | Negative |
| P.aeruginosa | Negative |
Structure and Function of Chondroitin Sulfate Bulk
Chondroitin sulfate bulk from different sources varies in molecular weight, degree of sulfation, percentage of different sulfated disaccharides, and relative number of disaccharide units, with distinct species and tissue variations. For example, chondroitin sulfate from sharks is CS-D; from squid or salmon is CS-E; from pilot whales are CS-A and CS-D; from crocodiles is CS-E; from rays (Rajiformes) are CS-A and CS-C; and from porcine, bovine, and ovine tracheal cartilage, and chicken sternal cartilage are CS-A and CS-E. Chondroitin sulfates of different structures exhibit distinct activities.
CS is widely used in tissue engineering and wound dressings. Different degrees of sulfonation of CS result in differences in cell adhesion, viability, and morphology. CS exhibits antioxidant, antithrombotic, anti-inflammatory, and immunomodulatory properties, and can be used to manage cardiovascular disease, central nervous system diseases, cancer, osteoarthritis, and skin wound healing. CS achieves its anti-inflammatory properties by reducing extracellular signaling, regulating kinases 1/2, and activating protein kinases. CSA and CSC have been shown to effectively reduce the production of proinflammatory cytokines, reactive oxygen species, and nitric oxide (NO) by chondrocytes and synovial cells. CSC inhibits the proinflammatory phenotype of macrophages while increasing IL-10 levels, shifting macrophages toward an anti-inflammatory/wound-healing state. CSE promotes neurite outgrowth into primary neurons. Furthermore, due to its relatively high degree of sulfonation, CSE regulates cytokines such as vascular endothelial growth factor, fibroblast growth factor, and trophoblasts, thereby orchestrating angiogenesis. Chondroitin sulfate readily covalently binds to core proteins to form chondroitin sulfate proteoglycans, which interact with growth factors and chemokines, promoting and improving cell growth.
Cs also vary in molecular chain length depending on their source. Existing research data indicates that CS derived from animal trachea typically has a molecular weight of 20-25 kDa, while CS extracted from sharks has a molecular weight of 50-80 kDa. However, there are also some CS derived from a single tissue that have various types of molecular chain structures and a very wide molecular weight distribution (η).
Health Benefits of Chondroitin Sulfate Bulk
Chondroitin sulfate bulk , as an important bioactive substance, plays a positive role in maintaining and promoting human health in many ways.
Joint Health
Regarding joint health, it stimulates the secretion of synovial fluid, enhancing joint lubrication and cushioning properties, thereby effectively protecting cartilage structure, reducing joint discomfort and stiffness, and improving joint mobility.
Antioxidant Benefits
Chondroitin sulfate also exhibits significant antioxidant properties, helping to scavenge free radicals in the body, inhibit oxidative stress, and reduce oxidative damage to cells, thereby slowing the aging process.
Lipid Regulation
Regarding lipid regulation, it helps lower blood lipid levels, inhibits the synthesis and oxidation of low-density lipoprotein cholesterol, promotes vascular health, and plays a positive role in preventing cardiovascular disease.
Promotes Tissue Repair
Chondroitin sulfate also participates in the synthesis of the extracellular matrix, supporting the repair and regeneration of body tissues and accelerating the recovery of damaged areas.
Immunity Support
It also activates the function of connective tissue and various immune cells, thereby enhancing the body's overall immunity and improving its ability to fight external pathogens.
Cardiovascular and Metabolic Support
Chondroitin sulfate supports healthy blood flow by promoting metabolism and reducing blood viscosity, positively impacting cardiovascular function. It also provides comprehensive protection for the cardiovascular system, including helping soften blood vessels and regulating blood lipids and blood pressure, thereby maintaining overall cardiovascular health.
Anti-inflammatory
Chondroitin sulfate also possesses anti-inflammatory and analgesic properties, enhancing the body's anti-inflammatory capacity, inhibiting the activity of inflammatory factors, and relieving joint swelling and pain.
Skin Health
It also helps maintain skin health, promoting skin cell regeneration and repair, enhancing skin elasticity and moisture retention, reducing wrinkle formation, and slowing the aging process.
Applications of Chondroitin Sulfate Bulk
Medical
Cardiovascular Diseases: Used to treat hyperlipidemia, coronary heart disease, angina pectoris, and other conditions. It reduces the risk of atherosclerosis by lowering blood lipids and cholesterol.
Joint Diseases: Commonly used as an adjunctive treatment for osteoarthritis, helping to repair joint cartilage and relieve pain and inflammation.
Other Conditions: Also used to treat neuralgia, migraines, chronic hepatitis, chronic nephritis, and other conditions, as well as to prevent streptomycin-induced hearing loss.



Health Products
Commonly used as a nutritional supplement for joint health, it primarily helps relieve joint discomfort and promote cartilage repair. It is also used to support joint health, improve cardiovascular health, and promote skin health.
Cosmetics
Leveraging its moisturizing and cellular metabolism-stimulating properties, it can be added to skincare and haircare products to help retain moisture and improve skin condition.
Pharmacological Effects Of Chondroitin Sulfate Bulk
1.Chondroitin sulfate has the effect of clarifying lipids in the treatment of coronary heart disease. Health foods and medicines developed with it as a raw material have long been used to prevent coronary heart disease, angina pectoris, myocardial infarction, coronary atherosclerosis, myocardial ischemia and other diseases. No obvious toxic side effects have been found in clinical applications, and it can significantly reduce the morbidity and mortality of patients with coronary heart disease.
2.Improve joint problems Chondroitin sulfate is used in combination with glucosamine to promote cartilage regeneration and soften bones. It is a commonly used drug for treating joint diseases in clinical practice and can effectively improve joint problems.
3.Protect bones Chondroitin sulfate can prevent the aggravation of bone calcification, prevent bones from becoming hard and brittle, and promote the restoration of flexibility of stiff bones. In addition, chondroitin sulfate can also reduce the contours of hardened and brittle bones that are in an expanded state within a certain range, effectively improving bone hyperplasia.
4.Promote the healing of corneal wounds and improve the symptoms of dry eyes. Chondroitin sulfate can improve corneal blood circulation, accelerate metabolism, enhance permeability, promote the absorption of permeate in the corneal stroma and the growth of fibers, eliminate inflammation, and have a protective effect on corneal collagen fibers; secondly, chondroitin sulfate can improve the water metabolism of corneal tissue, promote the formation of a breathable and water-retaining film on the surface of the cornea, promote the healing of corneal wounds and improve the symptoms of dry eyes.
The Therapeutic Significance Of Chondroitin Sulfate Bulk For Osteoarthritis, Including Kashin-Beck Disease
Chondroitin sulfate is primarily derived from cartilage extracted from shark, cattle, pig, and chicken. Initially, chondroitin sulfate was used as a dietary supplement to prevent arthritis and protect joints. Over the years, research has deepened, revealing that chondroitin sulfate not only prevents arthritis but also has significant efficacy in treating osteoarthritis, particularly Kashin-Beck disease. In 2003, the European Union Against Rheumatism published recommendations for the treatment of knee osteoarthritis, which recognized chondroitin sulfate as an effective treatment for knee osteoarthritis.
Chondroitin sulfate has a pronounced affinity for cartilage, preferentially entering and protecting cartilage. In a rat arthritis model induced by injection of Freund's complete adjuvant into the tail vein, chondroitin sulfate inhibited edema and the synthesis of matrix metalloproteinase-9 and interleukin-1β (IL-1β), thereby preventing further cartilage damage. Chondroitin sulfate also inhibits the production of proteolytic and lysosomal enzymes, such as elastase and N-acetylglucosaminidase, which damage articular cartilage.
McAlindon et al. found that oral administration of chondroitin sulfate significantly increased hyaluronic acid, proteoglycans, and type II collagen in the joints of osteoarthritis patients compared to the control group, while N-acetylglucosaminidase activity was reduced. Studies have shown that chondroitin sulfate can reduce IL-1β-induced synthesis of matrix metalloproteinases 1, 3, and 13, as well as proteoglycanases 1 and 2, while enhancing type II collagen mRNA expression and cartilage regeneration. Chondroitin sulfate treatment can also reduce inducible nitric oxide synthase (iNOS) and cyclooxygenase-2 (COX-2) mRNA levels. Chondroitin sulfate can inhibit the expression of proteolytic enzymes involved in cartilage degradation, inhibit the expression of IL-1β-induced proinflammatory enzymes iNOS and COX-2, and restore transforming growth factor-β (TGF-β) receptor mRNA levels. These findings indicate that chondroitin sulfate has a cartilage-protective effect.
Oral chondroitin sulfate is used to treat osteoarthritis, relieving pain and other symptoms while reducing the need for nonsteroidal anti-inflammatory drugs (NSAIDs). Although its onset of action is slow, long-term use is without significant side effects and gastrointestinal irritation. Ronca et al. used tritium labeling to investigate the pharmacokinetics of chondroitin sulfate in rats and healthy volunteers, providing a preliminary understanding of its anti-inflammatory mechanism and confirming its anti-inflammatory effect in the treatment of osteoarthritis. Richy et al. summarized the results of 16 studies showing that oral chondroitin sulfate treatment for three months was superior to placebo and comparable to anti-inflammatory analgesics such as diclofenac. However, chondroitin sulfate's pain-relieving effect lasted longer, lasting for more than three months. In contrast, anti-inflammatory drugs only relieve arthritis pain, while chondroitin sulfate can also control the progression of symptoms and promote cartilage repair.
As shown above, chondroitin sulfate supplementation can play a certain therapeutic role in the progression of osteoarthritis. Similarly, chondroitin sulfate can alleviate osteoarthritis pain symptoms and improve joint function to a certain extent in patients with osteoarthritis.
Who Is Suitable For Chondroitin Sulfate Bulk?
Chondroitin sulfate bulk can be used as a treatment option for early- and mid-stage osteoarthritis, but it is less effective for patients with end-stage osteoarthritis who have severe articular cartilage wear. Similarly, chondroitin sulfate treatment is suitable for patients with Grade I and Grade II KBD, as they still have a significant number or some chondrocytes in their joints. However, it is not suitable for patients with Grade III KBD, as they have few or no chondrocytes.

At present, chondroitin sulfate is a selective therapeutic drug for osteoarthritis. It can be used alone or in combination with cartilage protectors such as glucosamine. It has achieved certain therapeutic effects in clinical practice. It is suitable for the early treatment and prevention of osteoarthritis such as Kashin-Beck disease. It can also be used for cartilage repair in patients with osteoarthritis such as Kashin-Beck disease.
YTBIO has own factory and R&D team, dedicated to providing you with high-quality Chondroitin sulfate bulk powder and services. If you have any questions or needs, please contact us and we will respond to you as soon as possible.
Tel:86-029-86478251 / 86-029-86119593
Whatsapp:86 17782577059
Email:sales@sxytorganic.com
_1737093401309.png)
