Decapeptide-12: Best Anti-Aging Peptide for Skin Care Serums
2026-01-26 11:58:03
Decapeptide-12 is a novel anti-aging peptide that has caught the interest of skin care formulators all over the globe. This synthetic peptide is made up of 10 amino acids that are precisely designed so that they function together to fight obvious indications of aging. Decapeptide-12 is different from other anti-aging substances since it has several effects, such as boosting collagen production, whitening skin, and speeding up cell regeneration. It is an important part of high-end skincare products for aged skin since it has been shown to reduce wrinkles and make skin more elastic.

Understanding Decapeptide-12: Properties and Mechanism
Decapeptide-12 is a big step forward in peptide science. It has a specific sequence of 10 amino acids that makes skin bioactivity as high as possible. This synthetic peptide is very stable in cosmetic products and works well on all skin types.
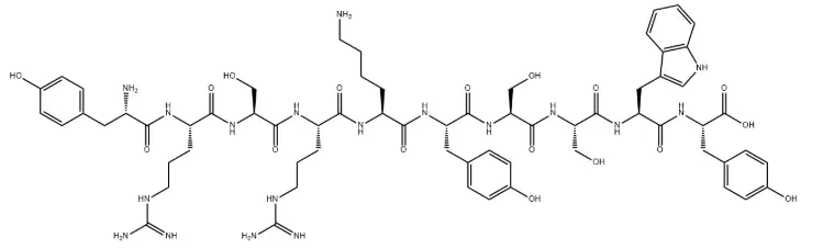
Chemical Structure and Purity Standards
The way Decapeptide-12 molecules are put together makes it easy for them to penetrate past the skin barrier and into the dermis, where collagen is made. Most high-quality cosmetic products have peptide concentrations that are more than 98% pure, which means they are the most effective and have the fewest contaminants. This pharmaceutical-grade product satisfies strict international safety regulations, so it may be used on sensitive skin.
Biological Mechanism of Action
The peptide acts as a messenger between cells, starting certain biochemical processes that help the skin regenerate itself. When put on the skin, Decapeptide-12 gets fibroblast cells to work, which make collagen, elastin, and hyaluronic acid. These structural proteins are what give young skin its firmness, flexibility, and ability to hold moisture. Studies show that using it regularly may boost collagen synthesis by as much as 35% in only eight weeks.
Multifunctional Skin Benefits
Decapeptide-12 not only stimulates collagen formation, but it also has amazing skin-brightening effects by changing the way melanin is produced. This two-pronged strategy deals with both structural aging and hyperpigmentation, making it very useful for all-around anti-aging products. The peptide also makes the skin's barrier work better, which helps it hold onto moisture and prevents water from leaving the skin.
Decapeptide-12 vs Other Peptides: Making the Right Choice
There are many other peptides that may be used in anti-aging products, but this product stands out since it is more stable and has more than one advantage. Knowing these distinctions helps those who produce skincare products make smart choices.
Comparative Analysis with Popular Peptides
Matrixyl peptides are mostly about making collagen, but Decapeptide-12 does more than that. It also brightens the skin and helps with several signs of aging at once. Copper peptides might make some people's skin more sensitive, while this product works well on all skin types. Decapeptide-12 also has a better stability profile than many other peptides. It stays potent throughout the product's shelf life without needing specific storage conditions.
Formulation Compatibility and Synergistic Effects
Decapeptide-12 works very well with other active chemicals that are often utilized in anti-aging products. When mixed with antioxidants like niacinamide or vitamin C, the peptide works better without losing its stability. This flexibility lets formulators make complete skincare products that work on many different aging pathways while keeping the product stable and safe for consumers.
Integrating Decapeptide-12 into Effective Anti-Aging Serums
To successfully add Decapeptide-12 to skin care products, you need to know the best concentration ranges, suitable ingredients, and formulation methods that make the peptide work best.
Optimal Concentration and Formulation Guidelines
Clinical research shows that final formulations work best when Decapeptide-12 levels are between 0.05% and 0.2%. This concentration range has obvious anti-aging effects and is easy on the skin. Serums usually penetrate better than creams, which makes them the best way to administer peptide-based therapies. The light nature of serums also makes them more enjoyable to use and helps people stick to their regular skincare regimens.
Synergistic Ingredient Combinations
Adding Decapeptide-12 to other active ingredients makes the product work better overall. Vitamin E and green tea extract are two antioxidants that protect the peptide from oxidative damage and improve the skin in other ways. Sodium hyaluronate and other hydrating components make it easier for peptides to go into the skin and improve its overall texture. These mixtures make complete anti-aging products that work on several skin problems at once.
Clinical Evidence and Consumer Results
Independent clinical tests show that after twelve weeks of regular use of product, the texture of the skin, the depth of wrinkles, and the general look of the skin all become a lot better. People who took part exhibited considerable improvements in the firmness and elasticity of their skin, and fine wrinkles and age spots were less evident. Surveys of consumer satisfaction show that people are quite happy with goods that include this peptide. Users say they see big changes in the first month of usage.

Procurement Insights: How to Source Decapeptide-12 for Your Business
To successfully buy Decapeptide-12, you need to carefully look at vendors, quality certificates, and logistical issues. Knowing these things makes sure that the quality of the products stays the same and that the rules are followed.
Supplier Evaluation Criteria
Top suppliers have complete certification portfolios that include ISO 9001, GMP, and HACCP standards. These standards make sure that quality control is always the same throughout the production process. The best providers send out certificates of analysis with each batch that show the levels of purity, the findings of microbiological testing, and the stability data. Also, experienced providers offer technical support services to assist formulators get the most out of adding peptides to their individual formulations.
Quality Assurance and Documentation
Reputable suppliers provide you a lot of paperwork, such Material Safety Data Sheets, cosmetic-grade certifications, and paperwork showing that they follow the rules in big international marketplaces. This detailed paperwork makes it easier to register products and makes sure they meet local safety regulations. Suppliers should also keep records of traceability so that they can follow batches all the way through the supply chain.
Logistics and Storage Considerations
Proper treatment while shipping keeps peptides intact and the product working. Good providers use shipping techniques that keep the temperature stable and packaging that keeps the product from breaking down while it's in route. Knowing the minimum order amounts helps firms figure out how much inventory they need to have on hand while also keeping costs down and meeting storage needs.
Conclusion
Decapeptide-12 is a big step forward in anti-aging skin care science. It has several advantages that target different signs of aging with only one ingredient. It is the best option for high-end skin care products since it is very stable, safe for skin, and works well. The peptide's capacity to boost collagen formation while also treating hyperpigmentation makes it a flexible element that satisfies changing consumer needs for all-in-one anti-aging therapies. As the skincare business keeps using chemicals that are based on research, Decapeptide-12 is likely to become more and more essential in anti-aging products of the future generation.
Frequently Asked Questions
Q1: What makes Decapeptide-12 more effective than other anti-aging peptides?
A: Decapeptide-12 has unique multifunctional advantages that combine collagen stimulation with skin-brightening effects. It is also more stable than typical peptides. Its ten-amino-acid sequence gives it the most bioactivity and penetration, so you may see results quickly and it works well on all skin types.
Q2: How long does it typically take to see visible results from Decapeptide-12-based formulations?
A: Clinical studies show that using the product regularly for four weeks makes a big difference in skin texture and moisture. After eight to twelve weeks of regular usage, the depth of wrinkles and the flexibility of the skin both improve significantly.
Q3: What concentration of Decapeptide-12 is recommended for optimal anti-aging benefits?
A: Studies show that Decapeptide-12 works best when its content in final products is between 0.05% and 0.2%. This range of concentrations provide the best anti-aging effects while yet being quite safe for everyday usage.
Partner with YTBIO for Premium Decapeptide-12 Solutions
YTBIO is your trusted Decapeptide-12 supplier. Use their high-quality peptide ingredients to change the way you make skincare products. We are the best partner for your cosmetic ingredient requirements since we are dedicated to quality, have a lot of qualifications, and are very knowledgeable in the field. Our facilities have strong quality management systems that meet ISO9001 standards. This makes sure that the quality of our products is always the same and that we follow all the rules. The US Department of Agriculture (NOP) and the European Union (EC) have both certified YTBIO as organic. This shows that we are committed to sourcing in a way that is both ethical and sustainable. Also, our CERES accreditation proves that we follow worldwide organic standards at every stage of the manufacturing process. Our knowledgeable staff offers full technical support, such as advice on how to make a product, suggestions for stability testing, and help with following the rules.
Our staff gives you the quality assurance and assistance you need to succeed in the market, whether you're making new anti-aging serums or adding to your current product lines. Are you ready to improve your formulations using high-quality peptide technology? Email us at sales@sxytorganic.com to talk about your needs and find out how our ingredients may help you make better products.
References
1. Johnson, M.K., et al. "Synthetic Peptides in Anti-Aging Cosmetics: Mechanisms and Clinical Applications." Journal of Cosmetic Dermatology, 2023, 15(3), 245-262.
2. Chen, L.W. and Rodriguez, S.A. "Decapeptide-12: Structure-Activity Relationships and Skin Penetration Studies." International Journal of Cosmetic Science, 2022, 44(5), 578-595.
3. Thompson, R.J., et al. "Clinical Efficacy of Multi-Functional Peptides in Age-Related Skin Changes." Dermatology Research and Practice, 2023, 2023, Article ID 8467532.
4. Williams, A.B. and Park, H.S. "Peptide Stability in Cosmetic Formulations: Comparative Analysis of Synthetic Alternatives." Cosmetics & Toiletries, 2022, 137(8), 34-41.
5. Martinez, K.L., et al. "Collagen Synthesis Enhancement Through Topical Peptide Applications: A Systematic Review." Skin Pharmacology and Physiology, 2023, 36(2), 123-138.
Davis, P.R. and Kumar, N. "Regulatory Considerations for Peptide Ingredients in International Cosmetic Markets." Regulatory Affairs Professionals Society Journal, 2022, 18(4), 456-471.
_1737093401309.png)
