Bulk Fructooligosaccharides Powder
- Fast Delievery
- Quality Assurance
- 24/7 Customer Service
Product Introduction
What is Fructooligosaccharides?
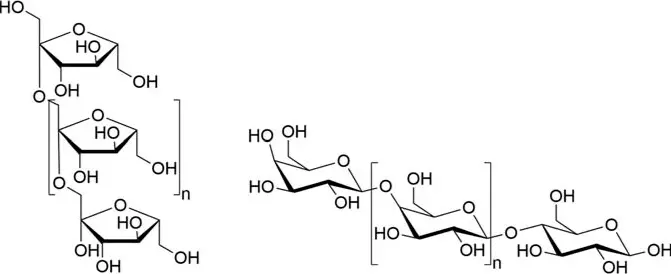
Bulk Fructooligosaccharides Powder (FOS) is a functional oligosaccharide naturally found in many plants. It is also a very good water-soluble dietary fiber. It is mainly composed of a mixture of fructotriose, fructotetraose and fructopentaose generated by fructosyl groups. It is an oligosaccharide with 1 to 3 fructose molecules combined on a sucrose molecule. It has similar chemical properties to sucrose, but its sweetness is lower and it is beneficial to the human body. Because FOS has a variety of superior physiological functions and physical and chemical properties, it has been widely used in the food, health care products and other industries. It is known as a new healthy sugar source in the 21st century that integrates nutrition, health care and efficacy.

What are the benefits?
Improve intestinal health
It helps maintain intestinal health, promotes normal intestinal peristalsis, slows down the speed of food passing through the intestine, and helps relieve constipation problems.
Enhance immunity
By promoting the proliferation of intestinal bifidobacteria, it can enhance the immune function of the intestine and improve the body's immunity. It can also increase the activity of NK cells and macrophages, increase antibody production, and promote the secretion of immune factors.
Promote mineral absorption
It can form complexes with minerals, and be fermented by bacteria in the large intestine to produce short-chain fatty acids, releasing mineral elements, thereby improving the absorption efficiency of minerals.
Enhance calcium absorption
Some studies have shown that it may help increase calcium absorption. This is essential for bone health, especially for people with osteoporosis or bone problems.
Improve blood lipid metabolism
It can effectively reduce the amount of serum cholesterol, triglycerides and free fatty acids, and has a good improvement effect on a series of cardiovascular diseases such as hypertension and arteriosclerosis caused by high blood lipids.
Beauty and skin care
By regulating the balance of intestinal microecology, accelerating intestinal peristalsis, expelling accumulated corruption, reducing the body's absorption of intestinal toxins, and avoiding the invasion of toxins on the skin, it can protect the skin and reduce the formation of spots and acne.
Regulating blood sugar
Bulk Fructooligosaccharides Powder may help lower blood sugar levels and affect blood sugar control to a certain extent, which may be helpful for diabetic patients.

Function for intestinal health
- It is mainly fermented in the large intestine, which can promote the growth and reproduction of beneficial bacteria such as bifidobacteria and lactic acid bacteria, thereby helping to maintain the balance of intestinal flora.
- By increasing the number of beneficial bacteria, it can improve the intestinal microecology, reduce the intestinal pH value, and inhibit the growth of harmful bacteria, thereby playing a role in protecting and preventing intestinal diseases.
- The intestine is the largest immune organ in the human body. Improving intestinal health helps to enhance the body's immunity and improve resistance to disease.
- It can combine with metal ions to promote the absorption and utilization of minerals such as calcium, iron, and zinc in the intestine.
Applicable people
Children: helps improve digestive function and promote nutrient absorption.
Elderly: helps prevent intestinal diseases and maintain good health.
People with constipation: can promote intestinal peristalsis and improve defecation difficulties.
People with intestinal dysfunction: helps regulate the balance of intestinal flora and relieve intestinal discomfort.
People with low immunity: can enhance intestinal immune function and improve body resistance.
People who need blood sugar control: oligofructose has a low glycemic index and has little effect on blood sugar.
Applications
Food
Due to its low calorie and high water-soluble dietary fiber properties, it is often used to produce weight loss foods and low-calorie foods. In dairy products, as a prebiotic, it promotes the proliferation of probiotics such as bifidobacteria, improves intestinal health, and prolongs shelf life. In baked goods, it can improve product color, taste and preservation, such as biscuits and bread.
Health Products
Fructo-oligosaccharides are used to develop various health products, such as health foods that lower blood pressure, strengthen the intestines and aid digestion, and improve gastrointestinal function.

Cosmetics
Inhibit the growth of harmful bacteria on the surface of facial skin, effectively slow down pigmentation, dilute and eliminate spots, and have a good effect on skin health.
Feed
Improve animal intestinal health, promote mineral absorption, enhance the immunity of animals and poultry, and reduce the use of antibiotics in feed.
Formulation Of Fructooligosaccharides
Capusle Formulation

Tablet Formulation

Solid Drink Formula

Certificates
YTBIO is developing in an all-round way. We have our own factory, quality inspection and R&D team. We are committed to providing customers with the best quality Bulk Fructooligosaccharides Powder and services. It is our original intention to let every consumer enjoy high-quality and healthy products. If you have any needs or questions about our products, please feel free to contact us and we will reply you as soon as possible.

Packaging and Shipping

Our Factory

_1737093401309.png)
