Deazaflavin Powder
Molecular formula: C11H7N3O2
Molecular weight: 213.19
Specifications: 98%
Certification: EU&NOP organic certificate, ISO9001, ISO22000, Kosher, Halal, HACCP
Delivery speed: 1-3 days
Stock: Available in stock
Payment: T/T, VISA, XTransfer, Alipay...
Shipping: DHL.FedEx, TNT, EMS, SF, Sea, Air
- Fast Delievery
- Quality Assurance
- 24/7 Customer Service
Product Introduction
What is Deazaflavin?
Deazaflavin, also known as 5-deazaflavin, has a chemical formula of C11H11N3O2 and is a synthetic compound with a pale yellow powder appearance. It has a similar structure to naturally occurring vitamin B2, but its function is similar to that of the vitamin B3 skeleton series, NAD+, or nicotinamide adenine dinucleotide, and is an important cofactor. NAD+ is essential for the health of human cells, tissues, and the body. As we age, the level of NAD+ in cells gradually decreases. Decreased NAD+ levels are associated with a variety of diseases, such as sarcopenia, metabolic diseases, neurodegenerative diseases, cancer, etc.
It has the function of activating mitochondria and sirtuin genes, and its efficacy is said to be dozens of times that of NMN. Deazoflavin plays an important role in energy production and cell metabolism, and is particularly effective in activating mitochondria and longevity proteins (longevity genes). Its effect is believed to be dozens of times that of the currently popular anti-aging supplement NMN.

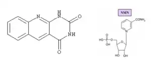
Comparison of efficacy with NMN (nicotinamide mononucleotide)
After NMN is taken into the body, it reacts with enzymes in the body and has a function similar to NAD+. Then it activates mitochondria and sirtuin genes. On the other hand, 5-deazaflavin (TND1128) itself is a substance similar to NAD+, so it can directly act on mitochondria and sirtuin genes.
Comparative Study of Nematode Life Extension
In the comparative study of nematode life extension, the high effect of 5-deazaflavin was demonstrated compared with domestic therapeutic β-NMN. *Nematode…The lifespan curve of nematodes and humans is similar to that of humans. Therefore, we are studying human aging, disease progression, gene elucidation, etc. Used as a model organism in biological and medical research. In addition to nematodes, mice are also well-known experimental model organisms.

Comparison with NMN functions and applications
1. Mitochondrial function: It has the function of activating mitochondria and can significantly improve the function of mitochondria, thus enhancing the energy metabolism and antioxidant capacity of cells. NMN is the precursor of NAD+. By supplementing NMN, you can increase the level of NAD+ in the body, thereby enhancing mitochondrial function, improving metabolic capacity, improving blood sugar levels and regulating blood pressure, and reducing the physiological characteristics of aging.
2. Anti-aging effect: This product is considered to be a particularly promising compound in the field of anti-aging and health care products. Its efficacy is said to be dozens of times that of NMN. By activating mitochondria and sirtuin genes, lifespan can be extended and physiological characteristics of aging can be reduced.
What are the characteristics?
(1) High purity: High-purity products can be obtained through extraction and refining production processes. High purity means better bioavailability and fewer adverse reactions.
(2) Safety: It has been proven to be safe for the human body.
(3) Stability: It has better stability and longer shelf life, making it a more convenient choice for supplement manufacturers and consumers.
What are the quality standards?
1. Purity: It should meet certain standards to ensure that the product does not contain impurities or other substances.
2. Appearance: It should be yellow or light yellow powder, without agglomeration or impurities.
3. Solubility: It has good solubility and can be fully dissolved in water or other solvents under certain temperature and conditions.
4. Stability: It has certain stability and is not easy to decompose or deteriorate under normal temperature and pressure.
5. Microbial indicators: Microbial indicator requirements should be met, such as the total number of bacteria, the total number of molds, etc. should comply with relevant regulations.
Synthesis:
There are various synthesis methods, the most common of which is to obtain the corresponding deazaflavin derivatives by reacting nitrous acid with aromatic amines. Nitrous acid can be obtained by the reaction of nitric acid and sulfurous acid, while aromatic amines can be obtained by the substitution reaction of aniline. During the reaction, nitrous acid undergoes an electrophilic substitution reaction with aromatic amines to form an intermediate of this product. Subsequently, after appropriate conditioning, the final product is obtained.
Formulation
Capusle Formulation

Tablet Formulation

Solid Drink Formula

Supplier
Yuantai Organic Bio is committed to providing customers with the highest-quality bulk deazaflavin and services so that every consumer can enjoy natural, healthy, and high-quality food. If you have any inquiries or needsabout our products, please feel free to contact us, and we will reply to you as soon as possible.

Packaging and Shipping

Our Company and Factory

_1737093401309.png)
