Xanthan Gum Powder
Package: 25Kg/barrel
CAS: 11138-66-2br> Molecular Formula: C8H14Cl2N2O2br> Molecular Weight: 241.11496br> EINECS: 234-394-2
Inventory: In Stock
Certification: ISO9001, ISO22000, Kosher, Halal, HACCP
Payment: T/T,VISA,XTransfer,Alipay
Shipping Speed: 3-5 days
- Fast Delievery
- Quality Assurance
- 24/7 Customer Service
Product Introduction
Introduction To Xanthan Gum
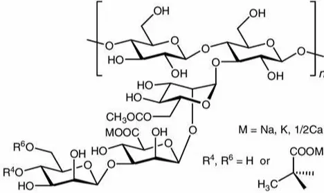
Xanthan Gum Powder, commonly known as corn sugar gum, is a kind of sugar, a complex polysaccharide produced by fermentation of Xanthomonas campestris, usually made from corn starch. It has excellent thickening, suspending, emulsifying and water-soluble properties. It disperses and emulsifies in water to become a stable hydrophilic viscous colloid. It is mainly composed of D-glucose, D-mannose and D-glucuronic acid, and has a complex molecular structure, including side chains and main chains. It is a high-molecular polysaccharide substance composed of 5 sugar molecules as a unit and the same units. Each unit is composed of 2 glucose molecules, 2 mannose molecules and 1 glucuronic acid molecule. It has a wide range of applications in food, cosmetics, medicine and other fields.
Product Details List
| Product Name | Xanthan Gum Powder |
| CAS | 11138-66-2 |
| Molecular Formula | C8H14Cl2N2O2 |
| Molecular Weight | 241.11496 |
| EINECS | 234-394-2 |
| Melting Point | 64.43 °C |
| Storage Conditions | Hygroscopic, -20°C Freezer, Under inert atmosphere |
| Solubility | Soluble in water to form a high viscosity solution, almost insoluble in organic solvents. |
Structure
It is an extracellular acidic heteropolysaccharide produced by fermentation of Xanthomonas. It is a polysaccharide macromolecular compound composed of D-glucose, D-mannose and D-glucuronic acid in a ratio of 2:2:1, with a relative molecular mass of more than 1 million. The secondary structure of xanthan gum is that the side chain is reversely wound around the main chain skeleton, and the rod-shaped double helix structure is maintained by hydrogen bonds.

Health Function
Antioxidant
It has certain antioxidant properties, can remove free radicals in the body and reduce oxidative stress.
Anti-inflammatory
Certain substances contained have certain anti-inflammatory effects, can reduce the inflammatory response of the skin, relieve symptoms such as redness, swelling, and pain.
Delay aging
It contains rich antioxidant ingredients, such as vitamin E, which can remove free radicals in the skin and reduce oxidative damage, thereby delaying the aging process of the skin.
Promote cell growth
Certain ingredients contained can stimulate the production of skin cell growth factor, promote the growth and division of skin cells, and are beneficial to the repair and regeneration of the skin.
Improve skin quality
It can improve the roughness and dullness of the skin, make the skin more delicate and shiny, regulate the oil secretion of the skin, and maintain the balance of water and oil.
Promote wound healing
Certain ingredients contained can stimulate the production of cell growth factor, thereby accelerating the healing process of the wound.
Lowers Cholesterol
Helps lower blood cholesterol levels and has a positive impact on cardiovascular health by binding to cholesterol and promoting its excretion from the body.
Improve digestive health
It can increase the number of beneficial bacteria in the intestine, help maintain the balance of intestinal microecology, and promote digestive health.

Features
Water retention: It has good water retention and freshness preservation effects on food.
Thickening: The solution has the characteristics of low concentration and high viscosity, and is an efficient thickener.
Anti-enzymatic hydrolysis: Due to the shielding effect of the side chain, the xanthan gum skeleton has the unique ability to not be hydrolyzed by enzymes.
Dispersibility: The support capacity of 1% xanthan gum solution is 5N/m2, which is an excellent suspending agent and emulsifying stabilizer among food additives.
Water solubility: It can dissolve quickly in water and has good water solubility. It can also dissolve in cold water, which can save complicated processing and is easy to use. However, due to its strong hydrophilicity, if a small amount of water is added directly and the stirring is insufficient, the outer layer absorbs water and expands into micelles, which will prevent water from entering the inner layer, thereby affecting the effect. Therefore, it must be used correctly. Xanthan gum dry powder or dry powder auxiliary materials such as salt and sugar are mixed well and then slowly added to the stirring water to make a solution for use.
Pseudoplasticity: It has high viscosity under static or low shearing, and shows a sharp drop in viscosity under high shearing, but the molecular structure remains unchanged. When the shearing force is eliminated, the original viscosity is immediately restored. The relationship between shearing force and viscosity is completely plastic. Pseudoplasticity is very prominent, and this pseudoplasticity is extremely effective in stabilizing suspensions and emulsions.
Heat resistance: The viscosity is almost unchanged in a fairly wide temperature range (-98 to 90°C). Even if it is kept at a high temperature of 130°C for 30 minutes and then cooled, the viscosity of the solution does not change significantly. After multiple freeze-thaw cycles, the viscosity of the glue does not change. In the presence of salt, its solution has good thermal stability. If a small amount of electrolyte such as 0.5% NaCl is added under high temperature conditions, the viscosity of the glue can be stabilized.
Acid and alkali resistance: The viscosity of the aqueous solution is almost independent of pH. This unique property is not possessed by other thickeners such as carboxymethyl cellulose (CMC). If the concentration of inorganic acid in the glue solution is too high, the glue solution will be unstable; acid hydrolysis of polysaccharides will occur at high temperatures, causing the viscosity of the glue solution to decrease. If the NaOH content is greater than 12%, it can cause gelation or even precipitation, and if the sodium carbonate concentration exceeds 5%, it will also cause gelation.
Compatibility: It can be miscible with most commonly used food thickener solutions, especially with alginate, starch, carrageenan, and carob bean gum, and the viscosity of the solution increases in a superimposed form. It shows good compatibility in aqueous solutions with a variety of salts. However, high-valent metal ions and high pH will make it unstable, and adding a complexing agent can prevent incompatibility.
Solubility: It is easily soluble in water and insoluble in polar solvents such as alcohol and ketone. It is easily soluble in water within a very wide range of temperature, pH and salt concentration. Its aqueous solution can be prepared at room temperature, and air mixing should be minimized during stirring. If it is mixed with some dry substances such as salt, sugar, monosodium glutamate in advance, then moistened with a small amount of water, and finally stirred with water, the performance of the prepared glue will be better. It can be dissolved in many organic acid solutions and has stable performance.
Applications
Food
As a thickener, emulsifier and molding agent, it is used to improve the texture and taste of food, such as bread, ice cream, dairy products, meat products, jams, jellies and beverages.
Cosmetics
In cosmetics, it is used in skin creams and lotions to provide excellent stability and lubrication, and as a sunscreen in sunscreen skin care products.
Medicine
Using its unique physical and chemical properties, such as acid resistance and biocompatibility, it is used in the development of drugs and drug delivery systems, such as tablets and liquid oral preparations.
Certificates
YTBIO is developing in an all-round way. We have our own factory, quality inspection and R&D team. We are committed to providing customers with the best quality Xanthan Gum Powder and services. It is our original intention to let every consumer enjoy high-quality and healthy products. If you have any needs or questions about our products, please feel free to contact us and we will reply you as soon as possible.

Packaging and Shipping

Our Factory

_1737093401309.png)
