Psoralea Corylifolia Extract
Appearance: Reddish brown or light yellow liquid
Test method: HPLC
Specification: 98%
Storage conditions: This product should be kept in a sealed, shading, and dry place
Shipping speed: 1-3 days
Certification: cGMP,ISO22000,ISO9001,EU&NOP Organic Certificate,Kosher,BRC,Halal,HACCP
- Fast Delievery
- Quality Assurance
- 24/7 Customer Service
Product Introduction
Do You Know Psoralea Corylifolia Extract?
Psoralea Corylifolia Extract Bakuchiol is a natural plant ingredient found in the seeds and leaves of Psoralea corylifolia (scientific name: Psoralea corylifolia). Native to India, it plays a key role in Ayurvedic herbal medicine. It can also be extracted from the seeds of the butterfly flower, the bark of the elm rhizome, and the fruit of the longleaf piper (Piper longum). Bakuchiol is a powerful antioxidant that can significantly reduce uneven skin tone caused by environmental exposure and has soothing properties. It also smoothes the appearance of fine lines and wrinkles. These benefits have led to its increasing use in skincare products in recent years. Recent studies have shown that topical application of bakuchiol has unique benefits for all skin types. Bakuchiol is considered a natural alternative to retinol, regulating gene expression in a similar manner to retinol and producing the same anti-aging effects. Bakuchiol works in a similar way to retinol, promoting collagen production, inhibiting inflammation, and regulating aquaporins, but is milder than retinol.

YTBIO: Providing High-Quality Psoralea Corylifolia Extract Bakuchiol and Services
Why choose YTBIO? We hold the following certifications:
- cGMP, ISO9001, and ISO22000 certifications ensure rigorous quality control throughout the entire process;
- BRC and HACCP system certifications ensure product safety and reliability;
- EU and NOP organic, kosher, and halal certifications meet various global standards and dietary requirements.
We specialize in the research, development, and production of natural plant extracts, cosmetic active ingredients, and health foods. We primarily produce plant extracts, health food ingredients, and a variety of end-use products, including capsules, softgels, granular capsules, gummies, tablets, and solid beverages. Our production facilities and equipment meet national standards, and our production processes strictly adhere to GMP requirements. If you have any questions, please feel free to contact us at sales@sxytorganic.com


Skincare Benefits of Psoralea Corylifolia Extract
1. Antioxidant
Bakuchiol's phenolic hydroxyl group structure imparts significant antioxidant potential. It effectively neutralizes free radicals and blocks the chain reactions that lead to cell damage, such as lipid peroxidation. Its antioxidant potency is comparable to well-known antioxidants such as resveratrol.
2. Anti-inflammatory
Psoralea Corylifolia Extract can inhibit the production of several key inflammatory factors, such as IL-6 and TNF-α, and exerts anti-inflammatory effects by interfering with inflammatory signaling pathways such as NF-κB, helping to reduce inflammatory symptoms such as redness and swelling.
3. Whitening
Bakuchiol reduces melanin production by inhibiting the activity of tyrosinase, a key enzyme in melanin synthesis. Compared to the common whitening ingredient arbutin, it exhibits a stronger inhibitory effect even at lower concentrations. Its effects are reversible and safe, making it ideal for improving hyperpigmentation.
4. Anti-Aging
Bakuchiol combats skin aging through multiple pathways: it promotes fibroblast proliferation and collagen synthesis, while inhibiting matrix metalloproteinases, which break down collagen. Clinical studies have shown that consistent use of skincare products containing bakuchiol effectively improves wrinkles, roughness, and dryness. Its efficacy in improving photoaging is similar to that of retinol, but it is better tolerated and photostable by the skin, making it suitable for daytime use.
5. Acne Treatment
Psoralea Corylifolia Extract possesses antibacterial and anti-inflammatory properties, making it an effective ingredient in anti-acne and acne treatments, helping to alleviate acne symptoms and improve subsequent scarring. Its mild nature and lack of irritation or drying properties make it suitable for combination with other anti-acne ingredients.
Psoralea Corylifolia Extract Bakuchiol vs. Retinol: Anti-Wrinkle (Photoaging) Benefits
Retinol is a classic anti-aging ingredient, acting on the skin's epidermis to promote cell proliferation, maintain normal skin circulation, and repair lost collagen, reducing wrinkles and signs of premature aging (such as abnormal pigmentation, rough spots, and dry skin). However, retinol has drawbacks that limit its application: high irritation, poor stability, and photosensitivity (retinol itself is not photosensitizing; upon absorption into the skin, it is converted to retinol-containing acid, which is photosensitizing). Compared to retinol, some natural plant-derived ingredients offer similar anti-aging benefits and are gentler. Psoralea Corylifolia Extract Bakuchiol is one of them.
Psoralea Corylifolia Extract is a remarkable ingredient and a novel retinol alternative. It modulates gene expression in skin cells in a similar way to retinol, but without the burning, irritation, and redness associated with traditional retinol. Bakuchiol not only replaces the effects of retinol but also complements it, protecting and enhancing its stability.
To compare the clinical efficacy of bakuchiol and retinol in improving common signs of facial aging, S. Dhaliwal et al. from the Department of Dermatology at the University of California, Davis, conducted a 12-week, randomized, double-blind study.
Duration: 12 weeks.
Groups: 44 participants were divided into two groups:
Experimental group: Used 0.5% bakuchiol cream twice daily.
Control group: Used 0.5% retinol cream once daily.
Evaluation Measures:
Primary outcome: Wrinkle severity and hyperpigmentation at 12 weeks.
Secondary outcomes: Changes in wrinkle pigmentation, skin redness, and participant-reported tolerability at different time points.
Study Results and Conclusions
1. Anti-Aging Effect: Both bakuchiol and retinol showed comparable results.
Fine Line Improvement: After 12 weeks of use, both bakuchiol and retinol significantly reduced the surface area of fine lines, with no significant difference between the two groups.
Pigmentation Improvement: Both ingredients were effective in improving pigment intensity and area, with no statistically significant difference. Clinical grading showed a slightly higher improvement rate in the bakuchiol group.

2. Side Effects: Bakuchiol is better tolerated.
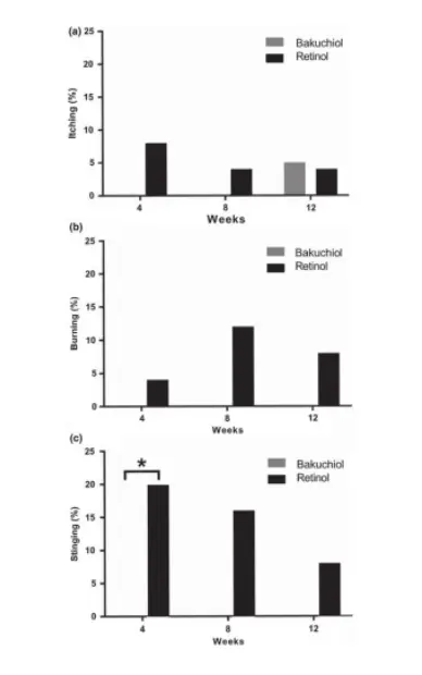
Desquamation: The retinol group experienced significantly more skin desquamation than the bakuchiol group.
Redness: The bakuchiol group experienced mild redness initially, but this did not change significantly over time.
Subjective Experience: The retinol group reported more itching, burning, and significantly more stinging sensations.

Participants were assessed for adverse reactions: (a) itching, (b) burning, and (c) stinging.
Overall Conclusion
This study demonstrated that bakuchiol is comparable to retinol in improving photoaging wrinkles and hyperpigmentation, but with significantly better skin tolerance. Therefore, psoralen is an attractive alternative to retinol, especially for consumers with sensitive skin or those seeking natural ingredients.
YTBIO has own factory and R&D team, dedicated to providing you with high-quality Psoralea Corylifolia Extract and services. If you have any questions or needs, please contact us and we will respond to you as soon as possible.
Reference: Dhaliwal S, Rybak I, Ellis SR, Notay M, Trivedi M, Burney W, Vaughn AR, Nguyen M, Reiter P, Bosanac S, Yan H, Foolad N, Sivamani RK. Prospective, randomized, double-blind assessment of topical bakuchiol and retinol for facial photoageing. Br J Dermatol. 2019 Feb;180(2):289-296.
FAQ
Q: What certifications do you hold?
A: We prioritize product quality and safety, and our production facilities hold several top international certifications, including:
· cGMP
· ISO9001 and ISO22000
· BRC
· HACCP
· EU and NOP organic certifications
· Kosher certification
· Halal certification
Q: Do you provide third-party test reports (COAs) for your products?
A: Of course. We provide a COA with every batch.
Q: Do you offer custom products and technical support?
A: Yes, we have a strong R&D team. In addition to standard products, we can also provide customized dosage forms and customized packaging to meet your specific needs.
Our technical team is always ready to provide comprehensive technical support, including product application and formulation advice.
_1737093401309.png)
