Do you know what is hovenia dulcis extract?
What is Hovenia dulcis extract?
Hovenia Dulcis Extract is made from the dried mature seeds of Hovenia dulcis, a plant of the Rhamnaceae family. It is a substance obtained through extraction, filtration, concentration, drying and other processes, and is a brown-yellow water-soluble powder. Its main ingredients include flavonoid active ingredients such as kaempferol, apigenin, myricetin, quercetin, hydrogen myricetin and anthraquinone compound rhamnin. It has the effects of anti-lipid peroxidation, protection of liver damage, hangover, anti-aging and anti-fatigue.
It has certain nutritional value, has the unique smell and taste of Hovenia dulcis, has good water solubility, easy dissolution, fine powder, good fluidity, dry powder, easy storage and transportation, multiple concentrations, and small additions.
It can be used for multi-scene features and is widely used in food, solid beverages, beverages, etc. to improve the unique flavor and value of food, solid beverages, beverages, etc., and to ensure the taste and nutrition of food, solid beverages, beverages and other products.

Why choose hovenia dulcis extract?
Antioxidant
Rich in antioxidants such as flavonoids and polysaccharides, it helps scavenge free radicals and slow down cell aging. In vitro experiments show that its antioxidant capacity is comparable to vitamin C.
Anti-aging
Studies have shown that different doses of Hovenia Dulcis Extract can improve the learning and memory ability of D-galactose-induced subacute aging mice, and have the effect of delaying aging. This effect may be partly through increasing the activity of antioxidant enzymes in the body and reducing The production of lipid peroxides increases the body's antioxidant capacity.
Anti-fatigue
The ethanol extract of Fructus Aurantii has an anti-fatigue effect on mice, which may be achieved by increasing the activity of antioxidant enzymes in the body and reducing the production of peroxidized lipids.
Hangover sobering up
It has a significant anti-hangover and sobering effect. It can speed up the metabolism of alcohol in the body, reduce the alcohol concentration in the blood, and reduce the damage caused by alcohol to the body. This feature is not available in many other liver protection products. For example, some simple hepatoprotective drugs may mainly focus on repairing liver cells and reducing transaminases, but are not as effective as Hovenia dulcis extract in dealing with acute damage to the liver caused by alcohol.
Protect liver
It has a very good protective effect on the liver. It can reduce the inflammatory response of the liver, reduce the levels of serum alanine aminotransferase and aspartate aminotransferase, improve the antioxidant capacity of the liver, and prevent the occurrence of alcoholic liver disease and other liver diseases.
Clear heat and diuresis
It can promote water metabolism in the body, increase urine output, and eliminate toxins and waste from the body. This not only helps reduce the burden on the liver, but also regulates the body's metabolic functions as a whole. Some other liver protection products may focus mainly on the direct protection of liver cells and are less involved in regulating the body's overall metabolism. It has a certain alleviation effect on promoting water metabolism, edema, difficulty urinating and other symptoms.
Improve digestion
Helps increase gastric acid secretion, promotes food digestion, and relieves indigestion problems. Clinical trials have found that gastric acid secretion increases after using Hovenia truncatula.
What are the effects on inflammation?
Hovenia dulcis extract effectively inhibits inflammation through multiple mechanisms, including inhibiting the expression of inflammatory factors and regulating inflammation through specific signaling pathways.
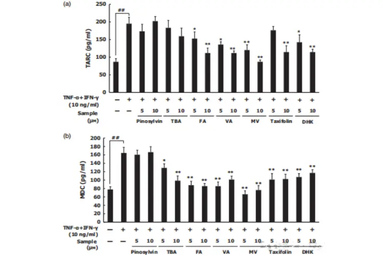
1. Inhibits the release of chemokines by keratinocytes

2. Inhibits keratinocyte inflammatory factor genes

3. Hovenia dulcis anti-chemokine components, methyl vanillate inhibits keratinocyte inflammatory factor genes


4. Inhibits atopic dermatitis symptoms and reduces the number of mast cells


5. Hovenia dulcis inhibits the mechanism of atopic dermatitis. Th1, Th2 cytokines, chemokines, and inflammatory factors are all involved in atopic dermatitis.


What is the application direction?
Health care products
It is also widely used in the field of health care products. Its main ingredient, dihydromyricetin, can promote liver health by changing lipid metabolism, enhancing ethanol metabolism and inhibiting inflammatory response, thereby reducing ethanol-induced liver damage. This ingredient makes it very popular in functional food supplements, especially in alcohol-relief and liver-protection products.

Food field
It can be used as a natural food additive to make foods and beverages with alcohol-relief functions. It is widely used in condiments, beverage industry, and baked goods, which can improve the taste, nutritional value, antioxidant effect of the product, and extend the shelf life.
Medical field
It is widely used in the treatment of liver diseases such as alcoholic liver disease, hepatitis, and cirrhosis. It can be used as a single drug or in combination with other drugs to improve the therapeutic effect.
If you would like more information, please contact sales@sxytorganic.com
_1737093401309.png)
